Script = https://s1.trrsf.com/update-1765905308/fe/zaz-ui-t360/_js/transition.min.js
Matemática

Proporção 2 Exemplos de exercícios

Compartilhar

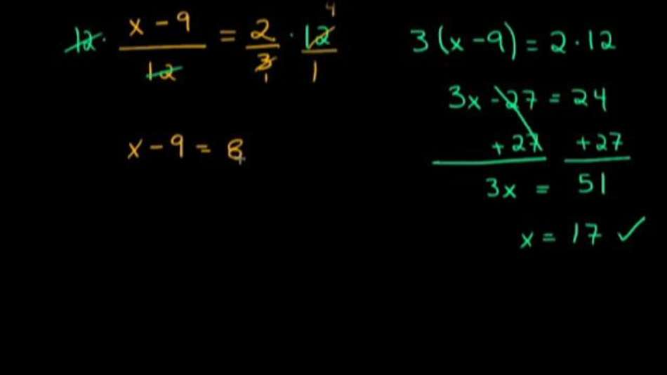
Vídeo sobre dois exemplos sobre proporções. Aplicação do Teorema Fundamental das Proporções. Todo o conteúdo da Khan Academy, com vídeos e exercícios, está disponível gratuitamente em www.khanacademy.org

Khan Academy Khan Academy
Publicidade
Seu Terra












Publicidade