Script = https://s1.trrsf.com/update-1770314720/fe/zaz-ui-t360/_js/transition.min.js
Matemática

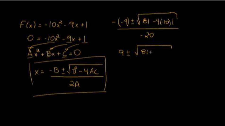
Introdução à equação quadrática

Compartilhar

Vídeo sobre introdução à equação quadrática ou equação do 2° grau. Aplicação da fórmula de Bháskara.Todo o conteúdo da Khan Academy, com vídeos e exercícios, está disponível gratuitamente em www.khanacademy.org

Khan Academy Khan Academy
Publicidade
Seu Terra












Publicidade